特高壓輸電線路不可避免的會途經一些易覆冰雪地區,包括一些高海拔地區。解決輸電線路覆冰雪對電網安全運行造成影響的問題,成為了近年來電力行業廣泛關注的對象。關于絕緣子覆雪閃絡特性及機理的研究,需要使用絕緣子人工氣候室。下面是一些我國的絕緣子閃絡試驗,供參考。
研究主題:絕緣子閃絡試驗
試驗設備:環儀儀器 絕緣子閃絡試驗人工氣候室
.jpg)
研究背景:近幾十年來,我國部分長距離、大容量超高壓/特高壓輸電線路被迫穿越重冰雪污染地區,受輸電線路走廊沿線微地形、微氣象的影響,特別是山區,絕緣子串上積垢、積雪或冰雪疊加,導致輸電線路絕緣強度顯著下降。持續雨雪天氣,部分地區降雪深度突破歷史極值,引發斷線、倒塔、線路跳閘、絕緣子串閃絡、通訊故障等一系列事故。
閃絡測試:本文采用U型法獲得雪覆蓋絕緣子的閃絡電壓。
程序如下:
打開密封門,將氣候室中的溫度升高至約-2℃。然后,升溫速率控制在0.5℃/5min。采用升壓法對積雪絕緣子進行閃絡試驗。為了防止雪層融化對結果的影響,相鄰閃絡試驗的間隔時間為1~2 min。當獲得多個閃絡電壓值Ufi時,Ufi與閃絡時間的關系呈U型曲線,最低點即為最低閃絡電壓最小U:
Umin=Min(Uf1,Uf2,Uf3...Ufn)
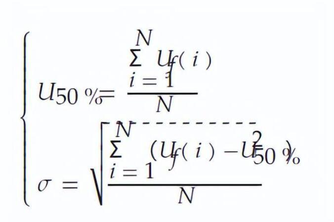
根據實驗結果,雪覆絕緣子各串的50%閃絡電壓U 50%及其標準差σ可由下式求得:

式中,Ufi為第i個最小閃絡電壓;N是總有效時間。
閃絡試驗中使用的交流電源是無電暈污染試驗變壓器。其標稱容量、額定電壓、額定電流分別為2000kVA、500kV、4A。采用額定電壓±600 kV、額定電流0.5 A的電源進行直流閃絡試驗。

研究結果表明,污染絕緣子和覆冰絕緣子的直流閃絡電壓均存在極性效應。對于短絕緣子串,負閃絡電壓低于正閃絡電壓。因此,為了考慮最壞情況,施加在雪地絕緣子上的電壓類型為直流負極性。








